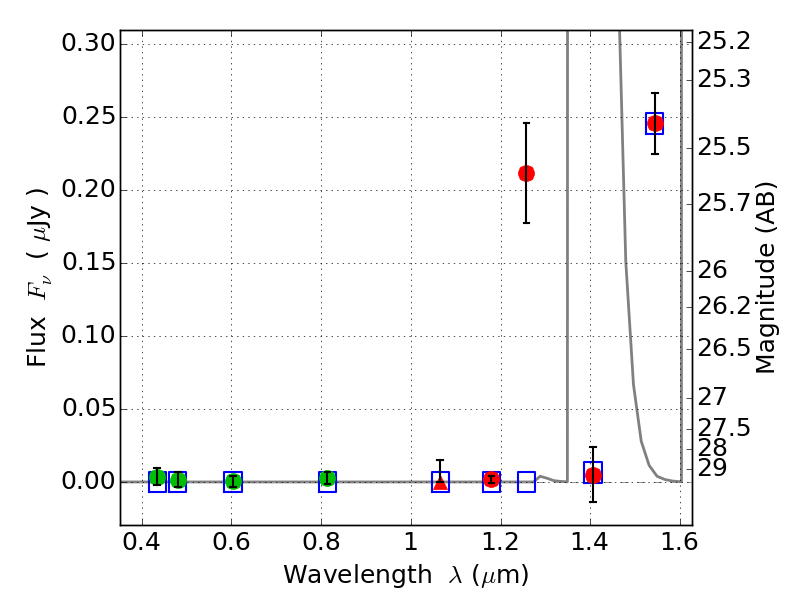
PLCKG287+32 IR detection object #1234

Color images and BPZ results
Catalog: 1234.cat
Black segments are analyzed here.   Roll mouse over color images to view segments.
Best viewed in a wide browser window (1200 pixels or more).   Download SED & P(z) plots to view larger versions.
In P(z) plots: Yellow lines mark the cluster redshift z = 0.390,  

Object #1234   x,y = (3893, 2847)   RA, Dec = (11:50:45.072, -28:04:35.76) = (177.68780, -28.07660)   BPZ = 12.217 [11.840--12.962]   type = 11.00 (SB11_A_0_l)   stellarity = 0.71   chisq2 = 5.19   ODDS = 0.81   z_cluster = 0.390