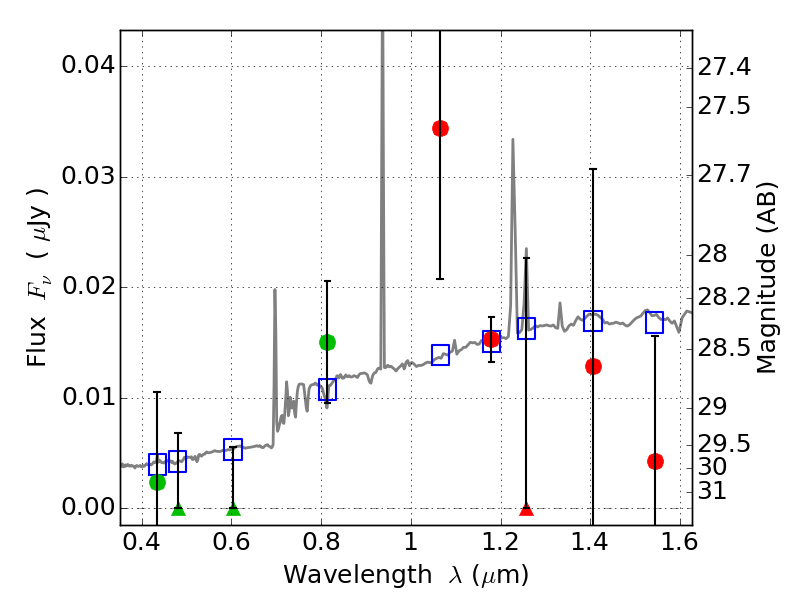
PLCKG287+32 IR detection object #1173

Color images and BPZ results
Catalog: 1173.cat
Black segments are analyzed here.   Roll mouse over color images to view segments.
Best viewed in a wide browser window (1200 pixels or more).   Download SED & P(z) plots to view larger versions.
In P(z) plots: Yellow lines mark the cluster redshift z = 0.390,  

Object #1173   x,y = (2599, 2960)   RA, Dec = (11:50:50.928, -28:04:28.92) = (177.71220, -28.07470)   BPZ = 0.875 [0.347--5.823]   type = 8.50 (SB2_B10 - SB1_B10)   stellarity = 0.35   chisq2 = 0.99   ODDS = 0.08   z_cluster = 0.390