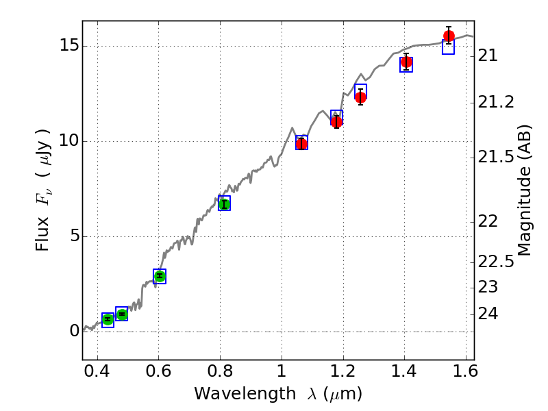
PLCKG287+32 IR detection object #1167

Color images and BPZ results
Catalog: 1167.cat
Black segments are analyzed here.   Roll mouse over color images to view segments.
Best viewed in a wide browser window (1200 pixels or more).   Download SED & P(z) plots to view larger versions.
In P(z) plots: Yellow lines mark the cluster redshift z = 0.390,  

Object #1167   x,y = (3201, 2772)   RA, Dec = (11:50:48.216, -28:04:40.08) = (177.70090, -28.07780)   BPZ = 0.367 [0.296--0.406]   type = 4.10 (Ell4_A_0 - ES0_B10)   stellarity = 0.03   chisq2 = 0.08   ODDS = 0.93   z_cluster = 0.390