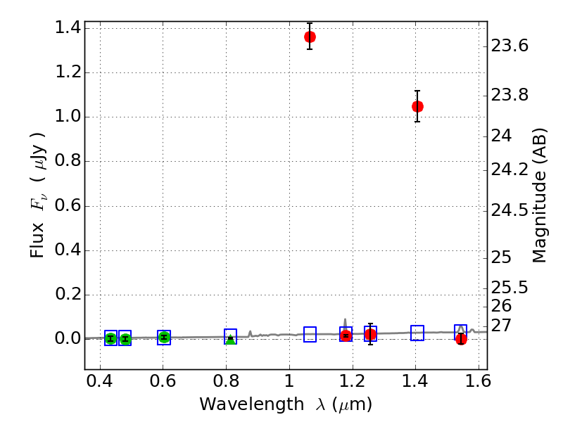
PLCKG287+32 IR detection object #1043

Color images and BPZ results
Catalog: 1043.cat
Black segments are analyzed here.   Roll mouse over color images to view segments.
Best viewed in a wide browser window (1200 pixels or more).   Download SED & P(z) plots to view larger versions.
In P(z) plots: Yellow lines mark the cluster redshift z = 0.390,  

Object #1043   x,y = (3450, 2953)   RA, Dec = (11:50:47.088, -28:04:29.28) = (177.69620, -28.07480)   BPZ = 1.354 [0.443--7.326]   type = 8.00 (SB1_B10)   stellarity = 0.79   chisq2 = 121.54   ODDS = 0.13   z_cluster = 0.390