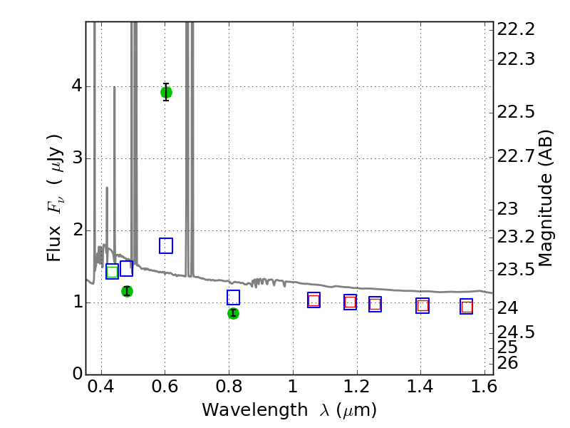
PLCKG287+32 ACS+IR detection object #80

Color images and BPZ results
Catalog: 80.cat
Black segments are analyzed here.   Roll mouse over color images to view segments.
Best viewed in a wide browser window (1200 pixels or more).   Download SED & P(z) plots to view larger versions.
In P(z) plots: Yellow lines mark the cluster redshift z = 0.390,  

Object #80   x,y = (2913, 4672)   RA, Dec = (11:50:49.512, -28:02:46.32) = (177.70630, -28.04620)   BPZ = 0.016 [0.010--0.031]   type = 11.00 (SB11_A_0_l)   stellarity = 0.16   chisq2 = 171.82   ODDS = 1.00   z_cluster = 0.390