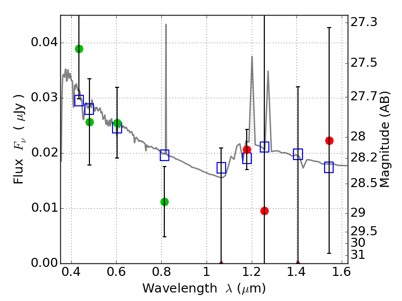
PLCKG287+32 ACS+IR detection object #5758

Color images and BPZ results
Catalog: 5758.cat
Black segments are analyzed here.   Roll mouse over color images to view segments.
Best viewed in a wide browser window (1200 pixels or more).   Download SED & P(z) plots to view larger versions.
In P(z) plots: Yellow lines mark the cluster redshift z = 0.390,  

Object #5758   x,y = (2069, 1440)   RA, Dec = (11:50:53.352, -28:06:00.00) = (177.72230, -28.10000)   BPZ = 1.930 [0.915--2.835]   type = 11.00 (SB11_A_0_l)   stellarity = 0.39   chisq2 = 0.67   ODDS = 0.19   z_cluster = 0.390