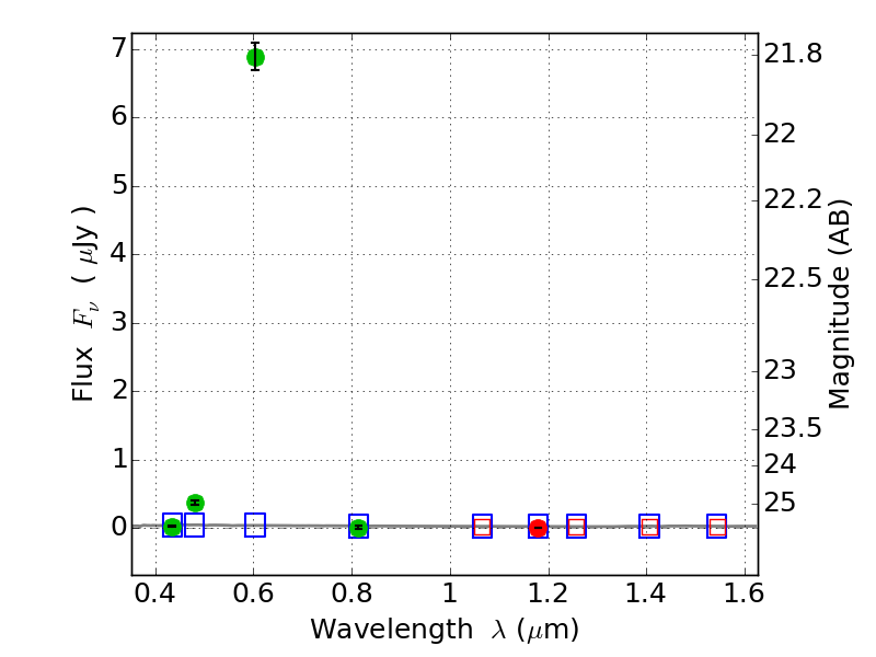
PLCKG287+32 ACS+IR detection object #5681

Color images and BPZ results
Catalog: 5681.cat
Black segments are analyzed here.   Roll mouse over color images to view segments.
Best viewed in a wide browser window (1200 pixels or more).   Download SED & P(z) plots to view larger versions.
In P(z) plots: Yellow lines mark the cluster redshift z = 0.390,  

Object #5681   x,y = (984, 1595)   RA, Dec = (11:50:58.248, -28:05:50.64) = (177.74270, -28.09740)   BPZ = 2.598 [1.775--2.930]   type = 11.00 (SB11_A_0_l)   stellarity = 0.98   chisq2 = 651.98   ODDS = 0.40   z_cluster = 0.390