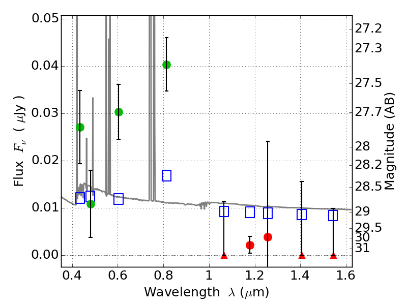
PLCKG287+32 ACS+IR detection object #4478

Color images and BPZ results
Catalog: 4478.cat
Black segments are analyzed here.   Roll mouse over color images to view segments.
Best viewed in a wide browser window (1200 pixels or more).   Download SED & P(z) plots to view larger versions.
In P(z) plots: Yellow lines mark the cluster redshift z = 0.390,  

Object #4478   x,y = (2888, 2219)   RA, Dec = (11:50:49.632, -28:05:13.20) = (177.70680, -28.08700)   BPZ = 0.132 [0.073--3.051]   type = 11.00 (SB11_A_0_l)   stellarity = 0.36   chisq2 = 7.13   ODDS = 0.39   z_cluster = 0.390