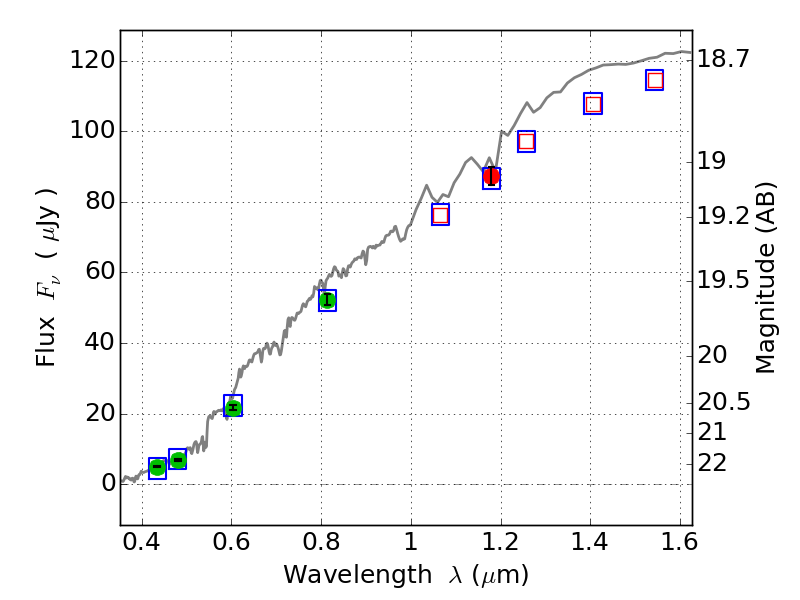
PLCKG287+32 ACS+IR detection object #4444

Color images and BPZ results
Catalog: 4444.cat
Black segments are analyzed here.   Roll mouse over color images to view segments.
Best viewed in a wide browser window (1200 pixels or more).   Download SED & P(z) plots to view larger versions.
In P(z) plots: Yellow lines mark the cluster redshift z = 0.390,  

Object #4444   x,y = (4062, 2243)   RA, Dec = (11:50:44.304, -28:05:11.76) = (177.68460, -28.08660)   BPZ = 0.369 [0.327--0.419]   type = 3.50 (Ell4_A_0 - Ell5_A_0)   stellarity = 0.03   chisq2 = 0.01   ODDS = 0.97   z_cluster = 0.390