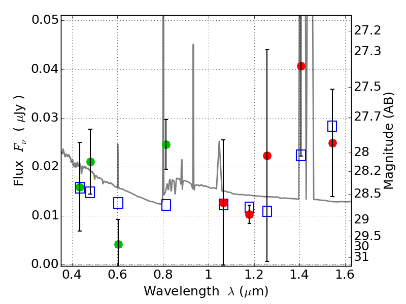
PLCKG287+32 ACS+IR detection object #4220

Color images and BPZ results
Catalog: 4220.cat
Black segments are analyzed here.   Roll mouse over color images to view segments.
Best viewed in a wide browser window (1200 pixels or more).   Download SED & P(z) plots to view larger versions.
In P(z) plots: Yellow lines mark the cluster redshift z = 0.390,  

Object #4220   x,y = (2243, 2546)   RA, Dec = (11:50:52.560, -28:04:53.76) = (177.71900, -28.08160)   BPZ = 1.150 [0.117--3.321]   type = 11.00 (SB11_A_0_l)   stellarity = 0.01   chisq2 = 1.69   ODDS = 0.07   z_cluster = 0.390