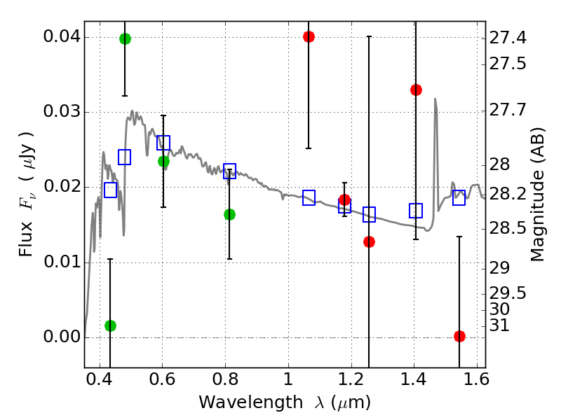
PLCKG287+32 ACS+IR detection object #4155

Color images and BPZ results
Catalog: 4155.cat
Black segments are analyzed here.   Roll mouse over color images to view segments.
Best viewed in a wide browser window (1200 pixels or more).   Download SED & P(z) plots to view larger versions.
In P(z) plots: Yellow lines mark the cluster redshift z = 0.390,  

Object #4155   x,y = (2353, 2384)   RA, Dec = (11:50:52.056, -28:05:03.48) = (177.71690, -28.08430)   BPZ = 2.944 [0.140--3.408]   type = 10.70 (SB11_A_0_l - SB3_B10)   stellarity = 0.08   chisq2 = 2.28   ODDS = 0.18   z_cluster = 0.390