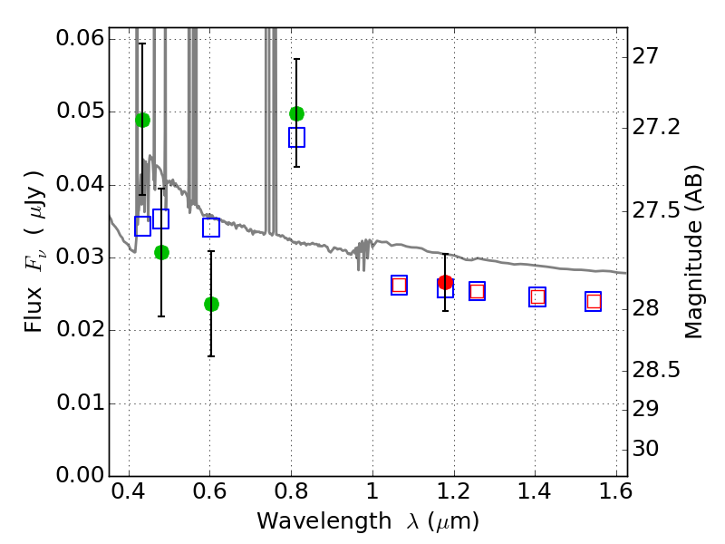
PLCKG287+32 ACS+IR detection object #4076

Color images and BPZ results
Catalog: 4076.cat
Black segments are analyzed here.   Roll mouse over color images to view segments.
Best viewed in a wide browser window (1200 pixels or more).   Download SED & P(z) plots to view larger versions.
In P(z) plots: Yellow lines mark the cluster redshift z = 0.390,  

Object #4076   x,y = (1315, 2397)   RA, Dec = (11:50:56.760, -28:05:02.76) = (177.73650, -28.08410)   BPZ = 0.135 [0.091--2.884]   type = 11.00 (SB11_A_0_l)   stellarity = 0.01   chisq2 = 2.04   ODDS = 0.26   z_cluster = 0.390