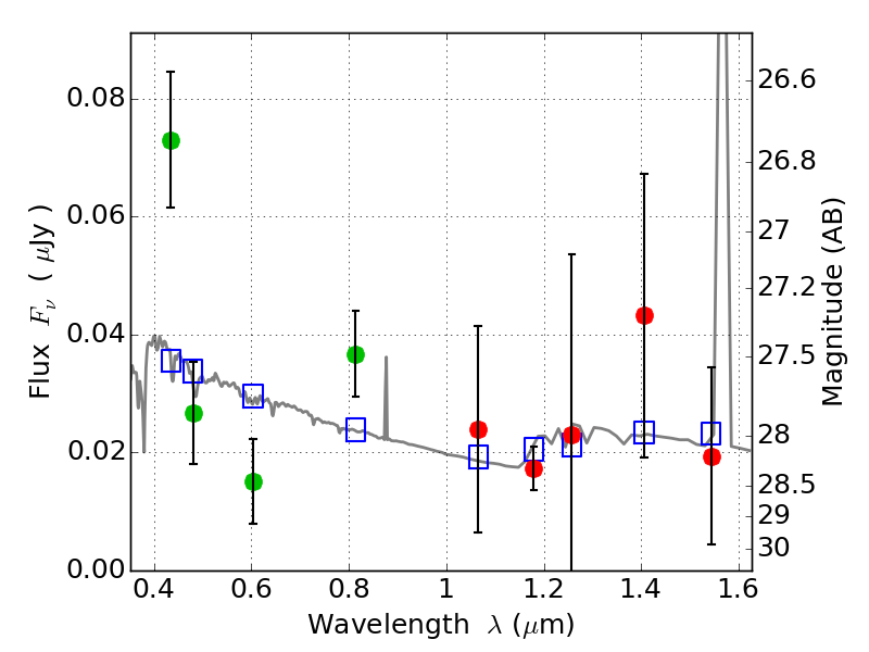
PLCKG287+32 ACS+IR detection object #3976

Color images and BPZ results
Catalog: 3976.cat
Black segments are analyzed here.   Roll mouse over color images to view segments.
Best viewed in a wide browser window (1200 pixels or more).   Download SED & P(z) plots to view larger versions.
In P(z) plots: Yellow lines mark the cluster redshift z = 0.390,  

Object #3976   x,y = (2002, 2813)   RA, Dec = (11:50:53.640, -28:04:37.56) = (177.72350, -28.07710)   BPZ = 2.133 [0.112--2.743]   type = 11.00 (SB11_A_0_l)   stellarity = 0.08   chisq2 = 3.10   ODDS = 0.24   z_cluster = 0.390