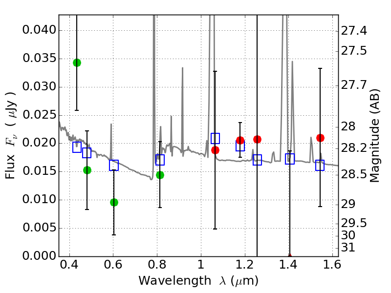
PLCKG287+32 ACS+IR detection object #3974

Color images and BPZ results
Catalog: 3974.cat
Black segments are analyzed here.   Roll mouse over color images to view segments.
Best viewed in a wide browser window (1200 pixels or more).   Download SED & P(z) plots to view larger versions.
In P(z) plots: Yellow lines mark the cluster redshift z = 0.390,  

Object #3974   x,y = (3685, 2479)   RA, Dec = (11:50:46.008, -28:04:57.72) = (177.69170, -28.08270)   BPZ = 1.113 [0.436--2.710]   type = 10.60 (SB11_A_0_l - SB3_B10)   stellarity = 0.07   chisq2 = 0.96   ODDS = 0.11   z_cluster = 0.390