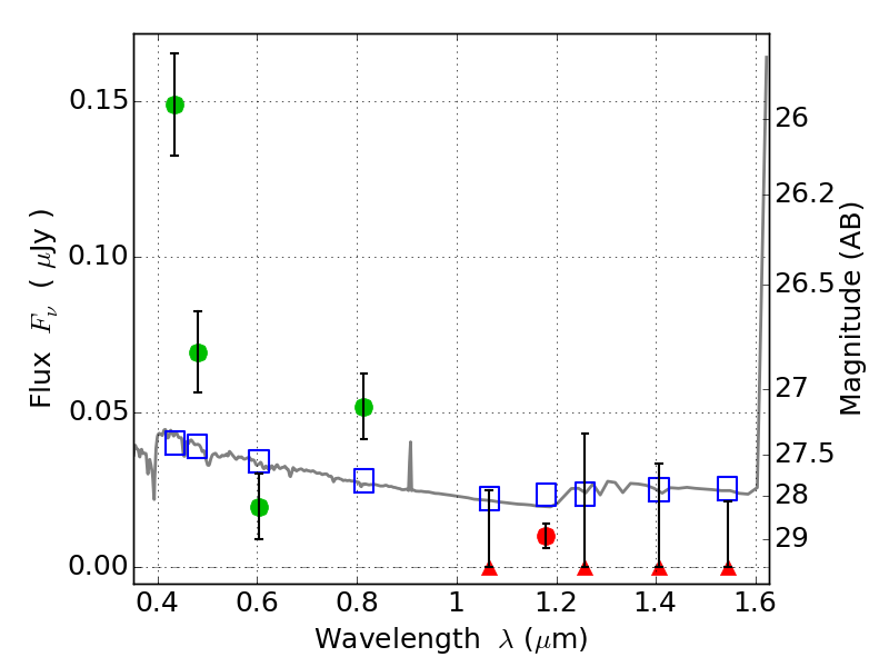
PLCKG287+32 ACS+IR detection object #3860

Color images and BPZ results
Catalog: 3860.cat
Black segments are analyzed here.   Roll mouse over color images to view segments.
Best viewed in a wide browser window (1200 pixels or more).   Download SED & P(z) plots to view larger versions.
In P(z) plots: Yellow lines mark the cluster redshift z = 0.390,  

Object #3860   x,y = (2646, 2815)   RA, Dec = (11:50:50.736, -28:04:37.56) = (177.71140, -28.07710)   BPZ = 2.244 [0.108--2.699]   type = 11.00 (SB11_A_0_l)   stellarity = 0.01   chisq2 = 10.93   ODDS = 0.40   z_cluster = 0.390