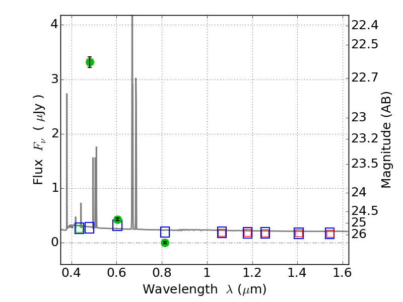
PLCKG287+32 ACS+IR detection object #3768

Color images and BPZ results
Catalog: 3768.cat
Black segments are analyzed here.   Roll mouse over color images to view segments.
Best viewed in a wide browser window (1200 pixels or more).   Download SED & P(z) plots to view larger versions.
In P(z) plots: Yellow lines mark the cluster redshift z = 0.390,  

Object #3768   x,y = (5018, 2519)   RA, Dec = (11:50:39.960, -28:04:55.20) = (177.66650, -28.08200)   BPZ = 0.020 [0.010--0.038]   type = 11.00 (SB11_A_0_l)   stellarity = 1.00   chisq2 = 970.68   ODDS = 1.00   z_cluster = 0.390