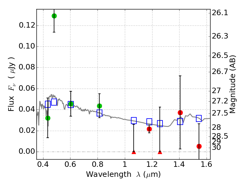
PLCKG287+32 ACS+IR detection object #3696

Color images and BPZ results
Catalog: 3696.cat
Black segments are analyzed here.   Roll mouse over color images to view segments.
Best viewed in a wide browser window (1200 pixels or more).   Download SED & P(z) plots to view larger versions.
In P(z) plots: Yellow lines mark the cluster redshift z = 0.390,  

Object #3696   x,y = (2575, 2532)   RA, Dec = (11:50:51.048, -28:04:54.48) = (177.71270, -28.08180)   BPZ = 2.596 [0.083--2.952]   type = 11.00 (SB11_A_0_l)   stellarity = 0.00   chisq2 = 5.43   ODDS = 0.37   z_cluster = 0.390