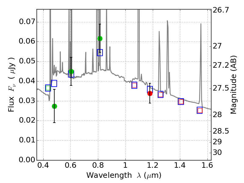
PLCKG287+32 ACS+IR detection object #3489

Color images and BPZ results
Catalog: 3489.cat
Black segments are analyzed here.   Roll mouse over color images to view segments.
Best viewed in a wide browser window (1200 pixels or more).   Download SED & P(z) plots to view larger versions.
In P(z) plots: Yellow lines mark the cluster redshift z = 0.390,  

Object #3489   x,y = (886, 2824)   RA, Dec = (11:50:58.704, -28:04:36.84) = (177.74460, -28.07690)   BPZ = 0.207 [0.107--3.869]   type = 10.20 (SB3_B10 - SB11_A_0_l)   stellarity = 0.01   chisq2 = 2.50   ODDS = 0.26   z_cluster = 0.390