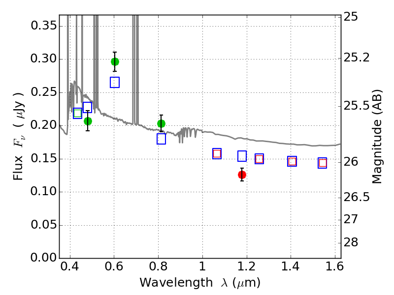
PLCKG287+32 ACS+IR detection object #3272

Color images and BPZ results
Catalog: 3272.cat
Black segments are analyzed here.   Roll mouse over color images to view segments.
Best viewed in a wide browser window (1200 pixels or more).   Download SED & P(z) plots to view larger versions.
In P(z) plots: Yellow lines mark the cluster redshift z = 0.390,  

Object #3272   x,y = (4583, 2718)   RA, Dec = (11:50:41.952, -28:04:43.32) = (177.67480, -28.07870)   BPZ = 0.047 [0.013--2.990]   type = 11.00 (SB11_A_0_l)   stellarity = 0.82   chisq2 = 5.79   ODDS = 0.68   z_cluster = 0.390