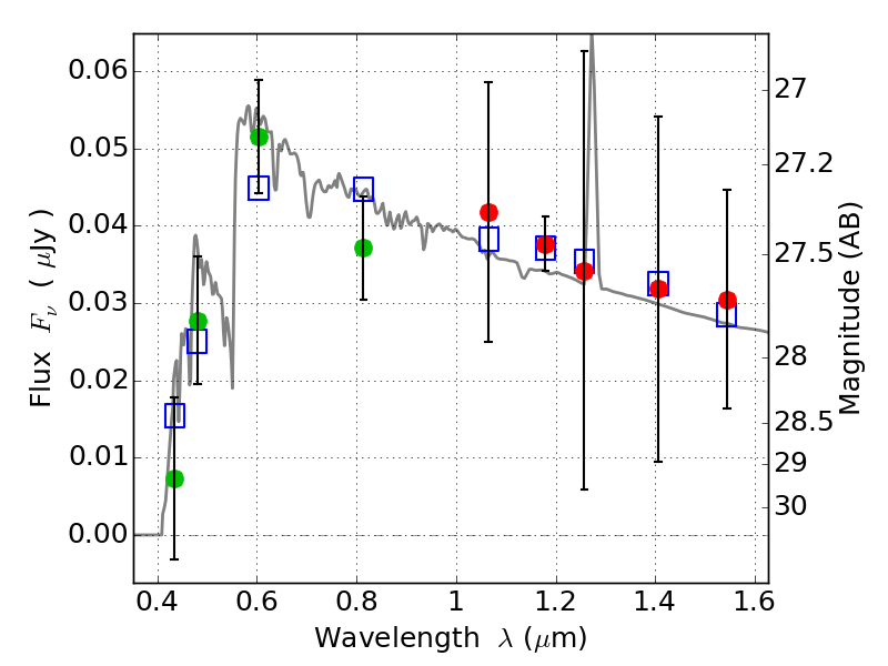
PLCKG287+32 ACS+IR detection object #3198

Color images and BPZ results
Catalog: 3198.cat
Black segments are analyzed here.   Roll mouse over color images to view segments.
Best viewed in a wide browser window (1200 pixels or more).   Download SED & P(z) plots to view larger versions.
In P(z) plots: Yellow lines mark the cluster redshift z = 0.390,  

Object #3198   x,y = (1890, 2892)   RA, Dec = (11:50:54.144, -28:04:32.88) = (177.72560, -28.07580)   BPZ = 3.548 [0.277--3.827]   type = 10.80 (SB11_A_0_l - SB3_B10)   stellarity = 0.00   chisq2 = 0.42   ODDS = 0.62   z_cluster = 0.390