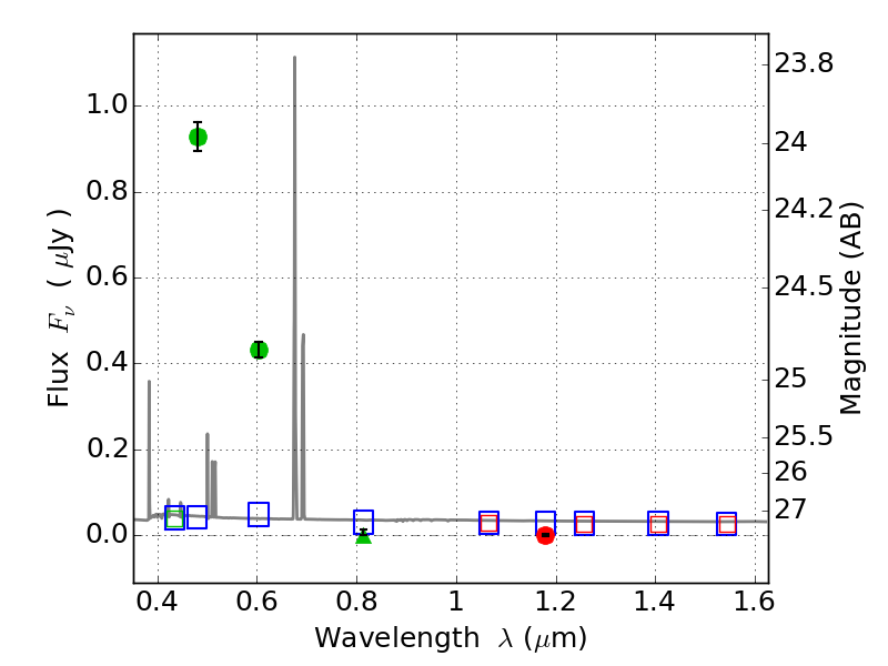
PLCKG287+32 ACS+IR detection object #3030

Color images and BPZ results
Catalog: 3030.cat
Black segments are analyzed here.   Roll mouse over color images to view segments.
Best viewed in a wide browser window (1200 pixels or more).   Download SED & P(z) plots to view larger versions.
In P(z) plots: Yellow lines mark the cluster redshift z = 0.390,  

Object #3030   x,y = (4608, 2956)   RA, Dec = (11:50:41.832, -28:04:28.92) = (177.67430, -28.07470)   BPZ = 0.027 [0.013--2.811]   type = 11.00 (SB11_A_0_l)   stellarity = 0.93   chisq2 = 1155.69   ODDS = 0.44   z_cluster = 0.390