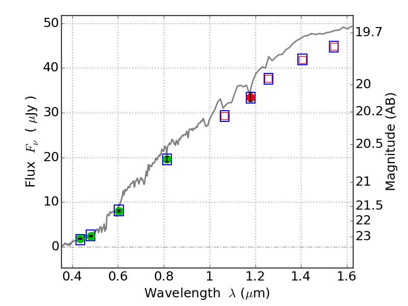
PLCKG287+32 ACS+IR detection object #3023

Color images and BPZ results
Catalog: 3023.cat
Black segments are analyzed here.   Roll mouse over color images to view segments.
Best viewed in a wide browser window (1200 pixels or more).   Download SED & P(z) plots to view larger versions.
In P(z) plots: Yellow lines mark the cluster redshift z = 0.390,  

Object #3023   x,y = (3991, 2923)   RA, Dec = (11:50:44.616, -28:04:31.08) = (177.68590, -28.07530)   BPZ = 0.377 [0.332--0.435]   type = 2.90 (Ell5_A_0 - Ell6_A_0)   stellarity = 0.03   chisq2 = 0.01   ODDS = 0.96   z_cluster = 0.390