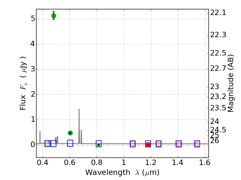
PLCKG287+32 ACS+IR detection object #2957

Color images and BPZ results
Catalog: 2957.cat
Black segments are analyzed here.   Roll mouse over color images to view segments.
Best viewed in a wide browser window (1200 pixels or more).   Download SED & P(z) plots to view larger versions.
In P(z) plots: Yellow lines mark the cluster redshift z = 0.390,  

Object #2957   x,y = (4571, 2989)   RA, Dec = (11:50:42.000, -28:04:27.12) = (177.67500, -28.07420)   BPZ = 0.025 [0.011--2.836]   type = 11.00 (SB11_A_0_l)   stellarity = 1.00   chisq2 = 1469.41   ODDS = 0.80   z_cluster = 0.390