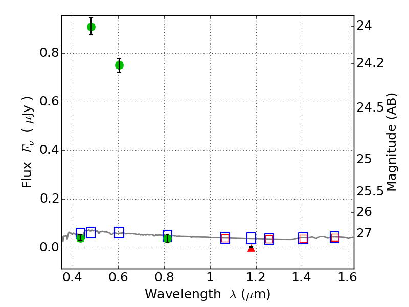
PLCKG287+32 ACS+IR detection object #2602

Color images and BPZ results
Catalog: 2602.cat
Black segments are analyzed here.   Roll mouse over color images to view segments.
Best viewed in a wide browser window (1200 pixels or more).   Download SED & P(z) plots to view larger versions.
In P(z) plots: Yellow lines mark the cluster redshift z = 0.390,  

Object #2602   x,y = (4079, 3489)   RA, Dec = (11:50:44.232, -28:03:57.24) = (177.68430, -28.06590)   BPZ = 2.681 [0.021--2.849]   type = 11.00 (SB11_A_0_l)   stellarity = 0.94   chisq2 = 600.79   ODDS = 0.75   z_cluster = 0.390