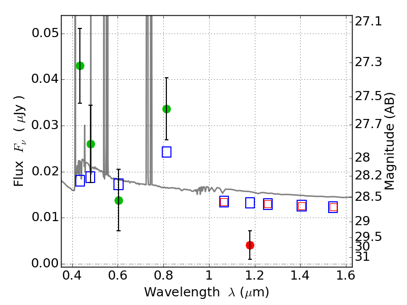
PLCKG287+32 ACS+IR detection object #2485

Color images and BPZ results
Catalog: 2485.cat
Black segments are analyzed here.   Roll mouse over color images to view segments.
Best viewed in a wide browser window (1200 pixels or more).   Download SED & P(z) plots to view larger versions.
In P(z) plots: Yellow lines mark the cluster redshift z = 0.390,  

Object #2485   x,y = (1668, 3267)   RA, Dec = (11:50:55.152, -28:04:10.56) = (177.72980, -28.06960)   BPZ = 0.109 [0.088--2.895]   type = 11.00 (SB11_A_0_l)   stellarity = 0.08   chisq2 = 9.34   ODDS = 0.13   z_cluster = 0.390