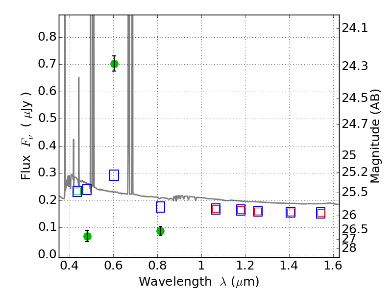
PLCKG287+32 ACS+IR detection object #233

Color images and BPZ results
Catalog: 233.cat
Black segments are analyzed here.   Roll mouse over color images to view segments.
Best viewed in a wide browser window (1200 pixels or more).   Download SED & P(z) plots to view larger versions.
In P(z) plots: Yellow lines mark the cluster redshift z = 0.390,  

Object #233   x,y = (3065, 4481)   RA, Dec = (11:50:48.816, -28:02:57.48) = (177.70340, -28.04930)   BPZ = 0.016 [0.010--0.036]   type = 11.00 (SB11_A_0_l)   stellarity = 0.97   chisq2 = 193.00   ODDS = 1.00   z_cluster = 0.390