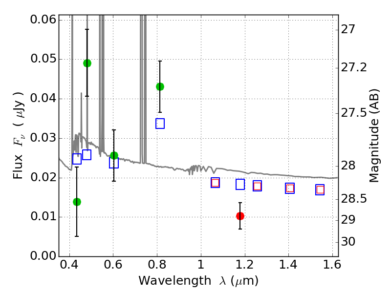
PLCKG287+32 ACS+IR detection object #2291

Color images and BPZ results
Catalog: 2291.cat
Black segments are analyzed here.   Roll mouse over color images to view segments.
Best viewed in a wide browser window (1200 pixels or more).   Download SED & P(z) plots to view larger versions.
In P(z) plots: Yellow lines mark the cluster redshift z = 0.390,  

Object #2291   x,y = (1723, 3375)   RA, Dec = (11:50:54.912, -28:04:04.08) = (177.72880, -28.06780)   BPZ = 0.114 [0.077--3.085]   type = 11.00 (SB11_A_0_l)   stellarity = 0.40   chisq2 = 7.20   ODDS = 0.33   z_cluster = 0.390