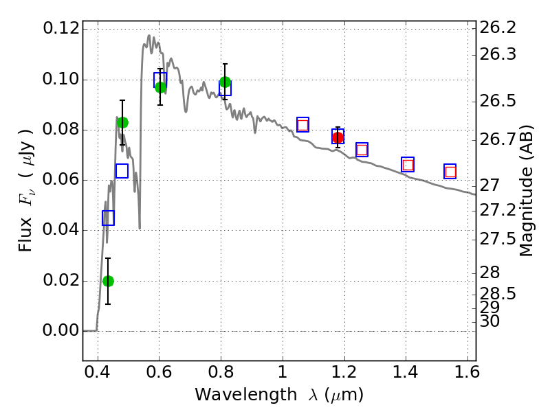
PLCKG287+32 ACS+IR detection object #2138

Color images and BPZ results
Catalog: 2138.cat
Black segments are analyzed here.   Roll mouse over color images to view segments.
Best viewed in a wide browser window (1200 pixels or more).   Download SED & P(z) plots to view larger versions.
In P(z) plots: Yellow lines mark the cluster redshift z = 0.390,  

Object #2138   x,y = (3916, 3443)   RA, Dec = (11:50:44.976, -28:03:59.76) = (177.68740, -28.06660)   BPZ = 3.429 [3.284--3.636]   type = 10.80 (SB11_A_0_l - SB3_B10)   stellarity = 0.96   chisq2 = 4.05   ODDS = 0.93   z_cluster = 0.390