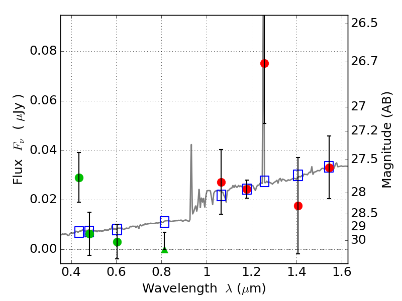
PLCKG287+32 IR detection object #744

Color images and BPZ results
Catalog: 744.cat
Black segments are analyzed here.   Roll mouse over color images to view segments.
Best viewed in a wide browser window (1200 pixels or more).   Download SED & P(z) plots to view larger versions.
In P(z) plots: Yellow lines mark the cluster redshift z = 0.390,  

Object #744   x,y = (1706, 3329)   RA, Dec = (11:50:54.984, -28:04:15.60) = (177.72910, -28.07100)   BPZ = 1.501 [0.672--7.688]   type = 8.30 (SB1_B10 - SB2_B10)   stellarity = 0.05   chisq2 = 1.99   ODDS = 0.17   z_cluster = 0.390