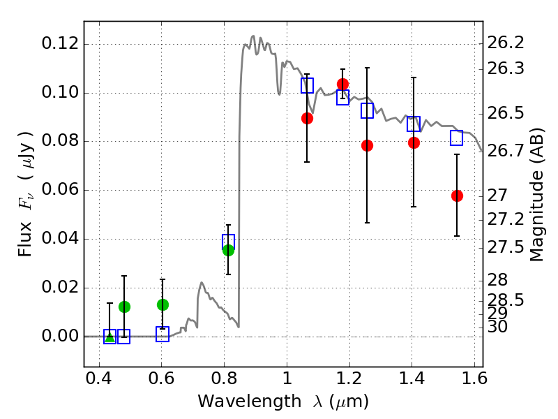
PLCKG287+32 IR detection object #347

Color images and BPZ results
Catalog: 347.cat
Black segments are analyzed here.   Roll mouse over color images to view segments.
Best viewed in a wide browser window (1200 pixels or more).   Download SED & P(z) plots to view larger versions.
In P(z) plots: Yellow lines mark the cluster redshift z = 0.390,  

Object #347   x,y = (2716, 3790)   RA, Dec = (11:50:50.400, -28:03:48.24) = (177.71000, -28.06340)   BPZ = 5.970 [5.504--6.386]   type = 11.00 (SB11_A_0_l)   stellarity = 0.94   chisq2 = 0.77   ODDS = 0.81   z_cluster = 0.390