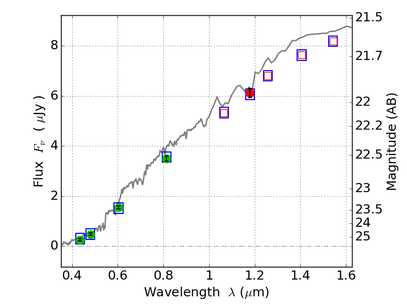
PLCKG287+32 IR detection object #3363

Color images and BPZ results
Catalog: 3363.cat
Black segments are analyzed here.   Roll mouse over color images to view segments.
Best viewed in a wide browser window (1200 pixels or more).   Download SED & P(z) plots to view larger versions.
In P(z) plots: Yellow lines mark the cluster redshift z = 0.390,  

Object #3363   x,y = (2036, 1213)   RA, Dec = (11:50:53.496, -28:06:22.68) = (177.72290, -28.10630)   BPZ = 0.373 [0.275--0.427]   type = 4.20 (Ell4_A_0 - ES0_B10)   stellarity = 0.03   chisq2 = 0.02   ODDS = 0.78   z_cluster = 0.390