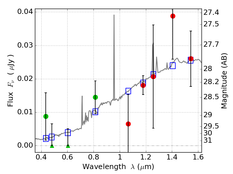
PLCKG287+32 IR detection object #3167

Color images and BPZ results
Catalog: 3167.cat
Black segments are analyzed here.   Roll mouse over color images to view segments.
Best viewed in a wide browser window (1200 pixels or more).   Download SED & P(z) plots to view larger versions.
In P(z) plots: Yellow lines mark the cluster redshift z = 0.390,  

Object #3167   x,y = (2648, 1637)   RA, Dec = (11:50:50.712, -28:05:57.12) = (177.71130, -28.09920)   BPZ = 0.913 [0.371--5.446]   type = 6.90 (Scd_B10 - Sbc_B10)   stellarity = 0.14   chisq2 = 0.79   ODDS = 0.11   z_cluster = 0.390