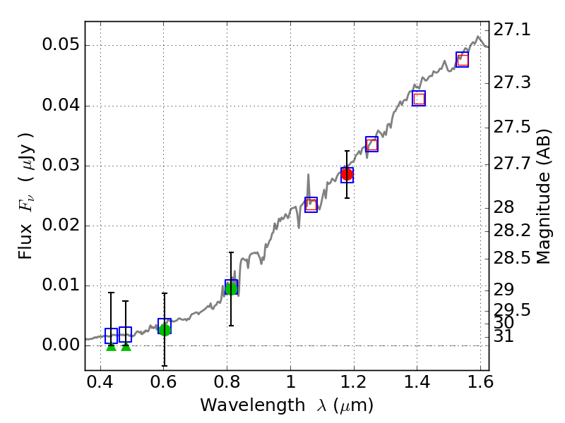
PLCKG287+32 IR detection object #3166

Color images and BPZ results
Catalog: 3166.cat
Black segments are analyzed here.   Roll mouse over color images to view segments.
Best viewed in a wide browser window (1200 pixels or more).   Download SED & P(z) plots to view larger versions.
In P(z) plots: Yellow lines mark the cluster redshift z = 0.390,  

Object #3166   x,y = (3840, 1637)   RA, Dec = (11:50:45.312, -28:05:57.12) = (177.68880, -28.09920)   BPZ = 1.112 [0.511--8.460]   type = 6.00 (Sbc_B10)   stellarity = 0.00   chisq2 = 0.04   ODDS = 0.10   z_cluster = 0.390