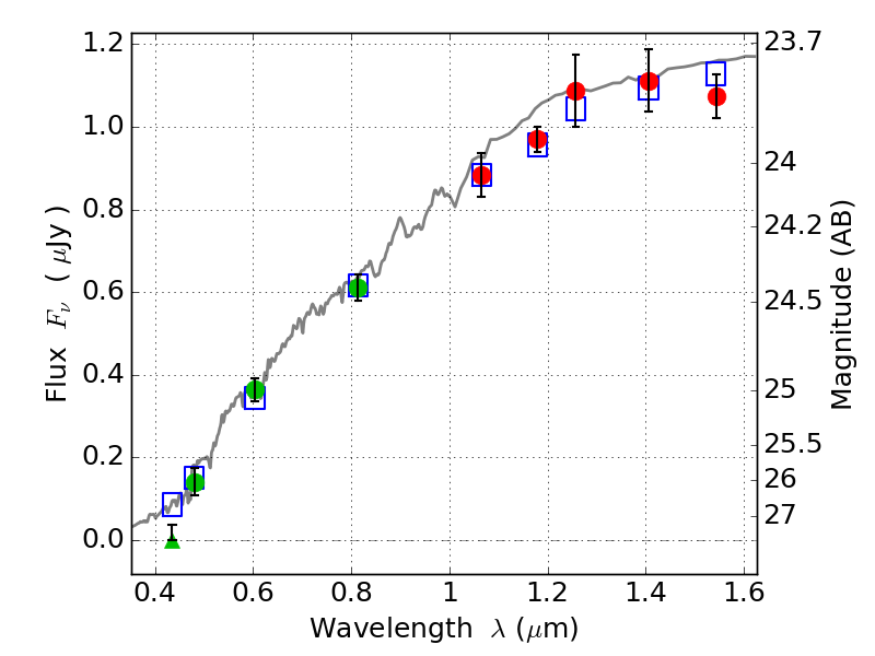
PLCKG287+32 IR detection object #3132

Color images and BPZ results
Catalog: 3132.cat
Black segments are analyzed here.   Roll mouse over color images to view segments.
Best viewed in a wide browser window (1200 pixels or more).   Download SED & P(z) plots to view larger versions.
In P(z) plots: Yellow lines mark the cluster redshift z = 0.390,  

Object #3132   x,y = (2564, 1745)   RA, Dec = (11:50:51.096, -28:05:50.64) = (177.71290, -28.09740)   BPZ = 0.188 [0.107--0.264]   type = 3.80 (Ell4_A_0 - Ell5_A_0)   stellarity = 0.02   chisq2 = 0.28   ODDS = 0.80   z_cluster = 0.390