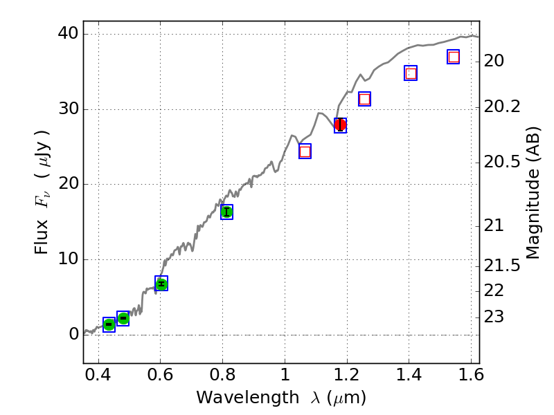
PLCKG287+32 IR detection object #3116

Color images and BPZ results
Catalog: 3116.cat
Black segments are analyzed here.   Roll mouse over color images to view segments.
Best viewed in a wide browser window (1200 pixels or more).   Download SED & P(z) plots to view larger versions.
In P(z) plots: Yellow lines mark the cluster redshift z = 0.390,  

Object #3116   x,y = (1381, 1668)   RA, Dec = (11:50:56.472, -28:05:55.32) = (177.73530, -28.09870)   BPZ = 0.360 [0.295--0.427]   type = 2.70 (Ell5_A_0 - Ell6_A_0)   stellarity = 0.03   chisq2 = 0.00   ODDS = 0.88   z_cluster = 0.390