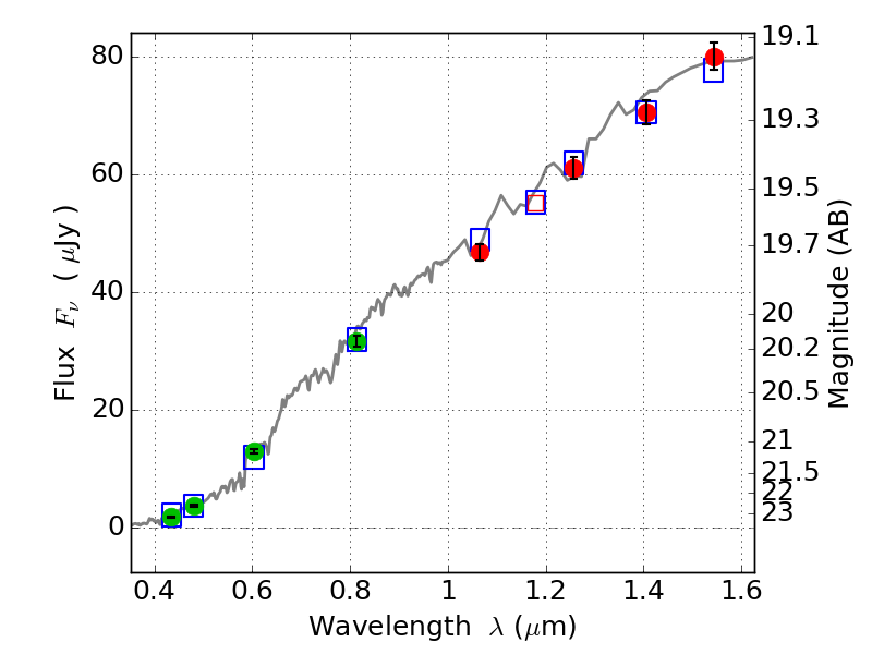
PLCKG287+32 IR detection object #2812

Color images and BPZ results
Catalog: 2812.cat
Black segments are analyzed here.   Roll mouse over color images to view segments.
Best viewed in a wide browser window (1200 pixels or more).   Download SED & P(z) plots to view larger versions.
In P(z) plots: Yellow lines mark the cluster redshift z = 0.390,  

Object #2812   x,y = (3063, 1825)   RA, Dec = (11:50:48.840, -28:05:45.96) = (177.70350, -28.09610)   BPZ = 0.467 [0.361--0.489]   type = 3.60 (Ell4_A_0 - Ell5_A_0)   stellarity = 0.03   chisq2 = 0.08   ODDS = 0.75   z_cluster = 0.390