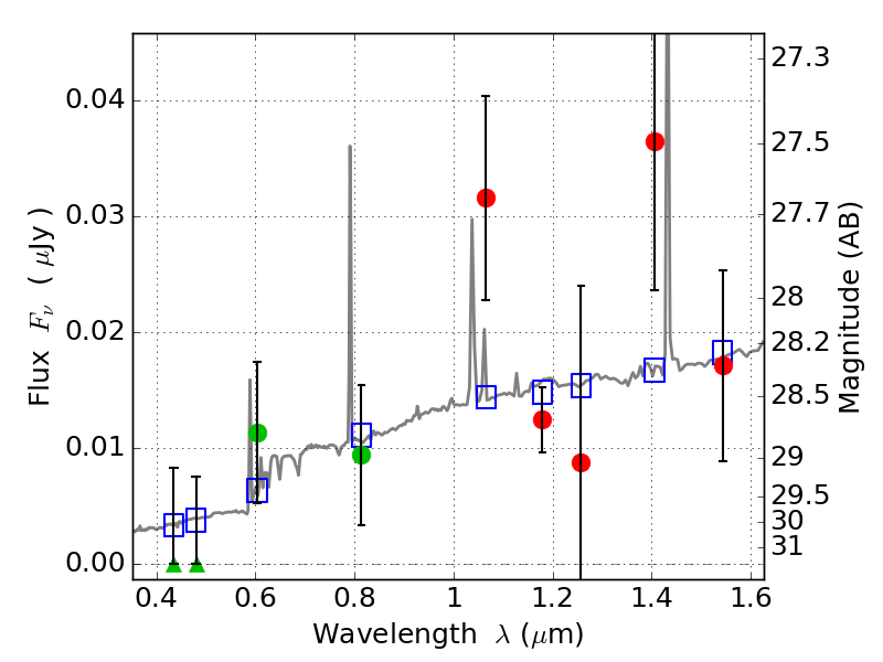
PLCKG287+32 IR detection object #2809

Color images and BPZ results
Catalog: 2809.cat
Black segments are analyzed here.   Roll mouse over color images to view segments.
Best viewed in a wide browser window (1200 pixels or more).   Download SED & P(z) plots to view larger versions.
In P(z) plots: Yellow lines mark the cluster redshift z = 0.390,  

Object #2809   x,y = (3228, 1970)   RA, Dec = (11:50:48.096, -28:05:37.32) = (177.70040, -28.09370)   BPZ = 0.578 [0.275--5.405]   type = 8.00 (SB1_B10)   stellarity = 0.09   chisq2 = 1.34   ODDS = 0.05   z_cluster = 0.390