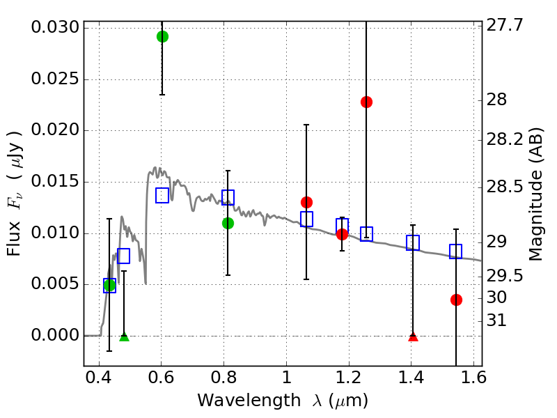
PLCKG287+32 IR detection object #2500

Color images and BPZ results
Catalog: 2500.cat
Black segments are analyzed here.   Roll mouse over color images to view segments.
Best viewed in a wide browser window (1200 pixels or more).   Download SED & P(z) plots to view larger versions.
In P(z) plots: Yellow lines mark the cluster redshift z = 0.390,  

Object #2500   x,y = (2885, 2165)   RA, Dec = (11:50:49.632, -28:05:25.44) = (177.70680, -28.09040)   BPZ = 3.533 [0.166--4.041]   type = 11.00 (SB11_A_0_l)   stellarity = 0.35   chisq2 = 1.86   ODDS = 0.28   z_cluster = 0.390