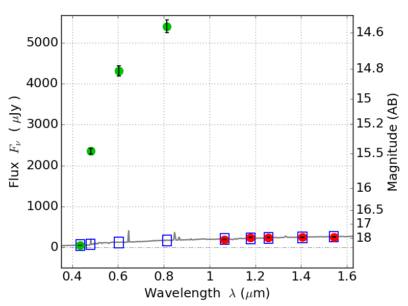
PLCKG287+32 IR detection object #2275

Color images and BPZ results
Catalog: 2275.cat
Black segments are analyzed here.   Roll mouse over color images to view segments.
Best viewed in a wide browser window (1200 pixels or more).   Download SED & P(z) plots to view larger versions.
In P(z) plots: Yellow lines mark the cluster redshift z = 0.390,  

Object #2275   x,y = (3542, 2347)   RA, Dec = (11:50:46.656, -28:05:14.64) = (177.69440, -28.08740)   BPZ = 0.294 [0.248--0.348]   type = 7.90 (SB1_B10 - Scd_B10)   stellarity = 0.03   chisq2 = 524.39   ODDS = 0.96   z_cluster = 0.390