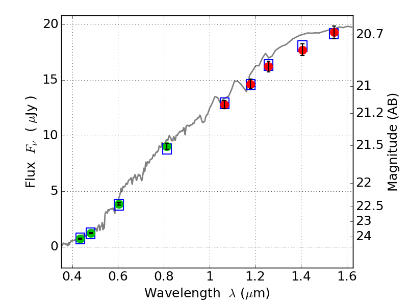
PLCKG287+32 IR detection object #2224

Color images and BPZ results
Catalog: 2224.cat
Black segments are analyzed here.   Roll mouse over color images to view segments.
Best viewed in a wide browser window (1200 pixels or more).   Download SED & P(z) plots to view larger versions.
In P(z) plots: Yellow lines mark the cluster redshift z = 0.390,  

Object #2224   x,y = (4076, 2401)   RA, Dec = (11:50:44.232, -28:05:11.40) = (177.68430, -28.08650)   BPZ = 0.363 [0.288--0.392]   type = 3.60 (Ell4_A_0 - Ell5_A_0)   stellarity = 0.13   chisq2 = 0.02   ODDS = 0.93   z_cluster = 0.390