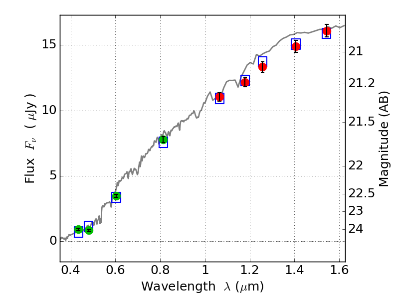
PLCKG287+32 IR detection object #2213

Color images and BPZ results
Catalog: 2213.cat
Black segments are analyzed here.   Roll mouse over color images to view segments.
Best viewed in a wide browser window (1200 pixels or more).   Download SED & P(z) plots to view larger versions.
In P(z) plots: Yellow lines mark the cluster redshift z = 0.390,  

Object #2213   x,y = (2771, 2320)   RA, Dec = (11:50:50.160, -28:05:16.08) = (177.70900, -28.08780)   BPZ = 0.351 [0.302--0.383]   type = 4.00 (Ell4_A_0)   stellarity = 0.03   chisq2 = 0.06   ODDS = 0.98   z_cluster = 0.390