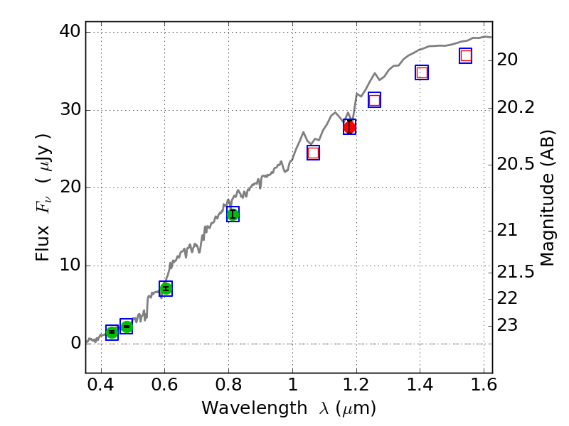
PLCKG287+32 IR detection object #2190

Color images and BPZ results
Catalog: 2190.cat
Black segments are analyzed here.   Roll mouse over color images to view segments.
Best viewed in a wide browser window (1200 pixels or more).   Download SED & P(z) plots to view larger versions.
In P(z) plots: Yellow lines mark the cluster redshift z = 0.390,  

Object #2190   x,y = (1392, 2321)   RA, Dec = (11:50:56.400, -28:05:16.08) = (177.73500, -28.08780)   BPZ = 0.374 [0.306--0.416]   type = 3.40 (Ell5_A_0 - Ell4_A_0)   stellarity = 0.03   chisq2 = 0.00   ODDS = 0.95   z_cluster = 0.390