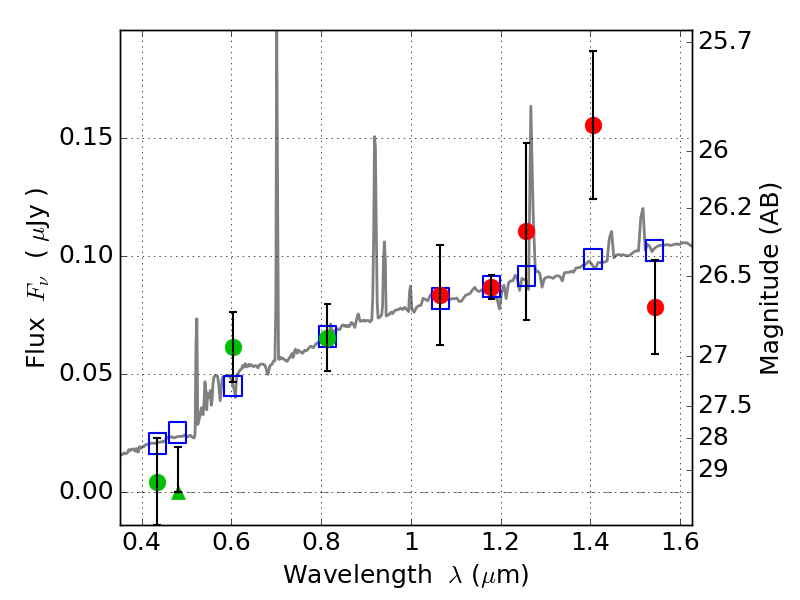
PLCKG287+32 IR detection object #2180

Color images and BPZ results
Catalog: 2180.cat
Black segments are analyzed here.   Roll mouse over color images to view segments.
Best viewed in a wide browser window (1200 pixels or more).   Download SED & P(z) plots to view larger versions.
In P(z) plots: Yellow lines mark the cluster redshift z = 0.390,  

Object #2180   x,y = (2697, 2358)   RA, Dec = (11:50:50.496, -28:05:13.92) = (177.71040, -28.08720)   BPZ = 0.398 [0.207--4.304]   type = 8.00 (SB1_B10)   stellarity = 0.00   chisq2 = 1.33   ODDS = 0.11   z_cluster = 0.390