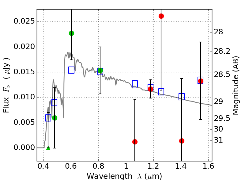
PLCKG287+32 IR detection object #2176

Color images and BPZ results
Catalog: 2176.cat
Black segments are analyzed here.   Roll mouse over color images to view segments.
Best viewed in a wide browser window (1200 pixels or more).   Download SED & P(z) plots to view larger versions.
In P(z) plots: Yellow lines mark the cluster redshift z = 0.390,  

Object #2176   x,y = (3000, 2361)   RA, Dec = (11:50:49.128, -28:05:13.92) = (177.70470, -28.08720)   BPZ = 3.506 [0.197--4.089]   type = 11.00 (SB11_A_0_l)   stellarity = 0.15   chisq2 = 1.03   ODDS = 0.28   z_cluster = 0.390