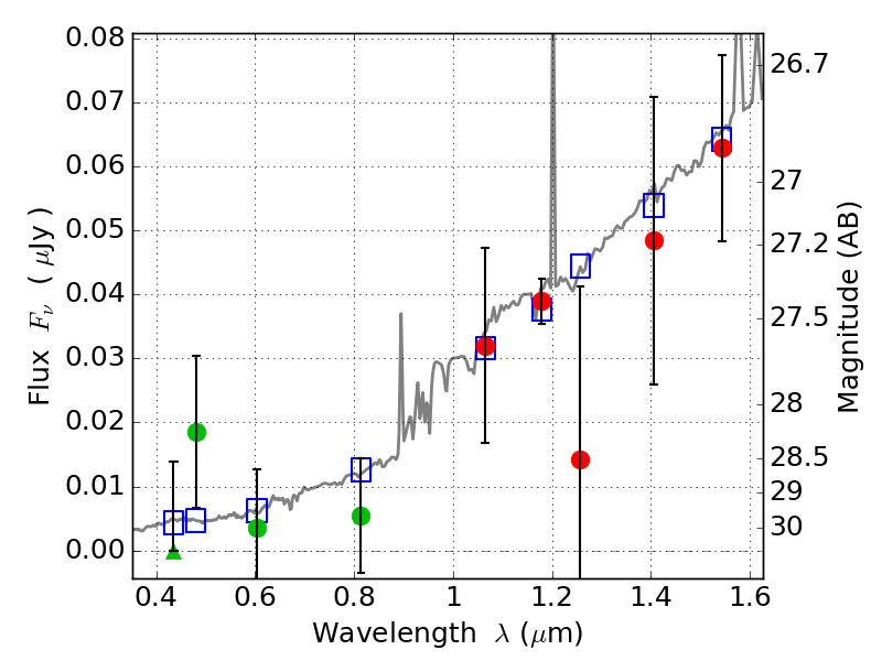
PLCKG287+32 IR detection object #2167

Color images and BPZ results
Catalog: 2167.cat
Black segments are analyzed here.   Roll mouse over color images to view segments.
Best viewed in a wide browser window (1200 pixels or more).   Download SED & P(z) plots to view larger versions.
In P(z) plots: Yellow lines mark the cluster redshift z = 0.390,  

Object #2167   x,y = (2356, 2364)   RA, Dec = (11:50:52.032, -28:05:13.56) = (177.71680, -28.08710)   BPZ = 1.403 [0.600--7.432]   type = 6.60 (Scd_B10 - Sbc_B10)   stellarity = 0.67   chisq2 = 0.54   ODDS = 0.16   z_cluster = 0.390