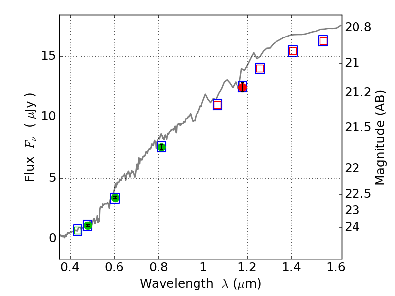
PLCKG287+32 IR detection object #1984

Color images and BPZ results
Catalog: 1984.cat
Black segments are analyzed here.   Roll mouse over color images to view segments.
Best viewed in a wide browser window (1200 pixels or more).   Download SED & P(z) plots to view larger versions.
In P(z) plots: Yellow lines mark the cluster redshift z = 0.390,  

Object #1984   x,y = (4321, 2440)   RA, Dec = (11:50:43.128, -28:05:08.88) = (177.67970, -28.08580)   BPZ = 0.341 [0.257--0.390]   type = 3.30 (Ell5_A_0 - Ell4_A_0)   stellarity = 0.03   chisq2 = 0.00   ODDS = 0.86   z_cluster = 0.390