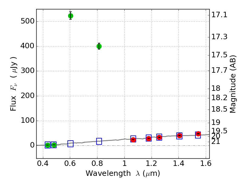
PLCKG287+32 IR detection object #1977

Color images and BPZ results
Catalog: 1977.cat
Black segments are analyzed here.   Roll mouse over color images to view segments.
Best viewed in a wide browser window (1200 pixels or more).   Download SED & P(z) plots to view larger versions.
In P(z) plots: Yellow lines mark the cluster redshift z = 0.390,  

Object #1977   x,y = (3516, 2347)   RA, Dec = (11:50:46.776, -28:05:14.64) = (177.69490, -28.08740)   BPZ = 0.335 [0.277--0.420]   type = 5.40 (ES0_B10 - Sbc_B10)   stellarity = 0.03   chisq2 = 346.92   ODDS = 0.81   z_cluster = 0.390