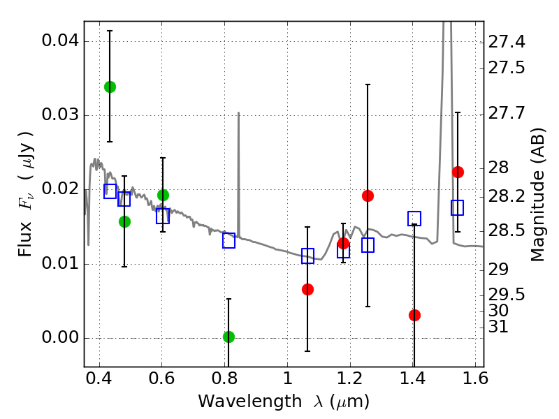
PLCKG287+32 IR detection object #1941

Color images and BPZ results
Catalog: 1941.cat
Black segments are analyzed here.   Roll mouse over color images to view segments.
Best viewed in a wide browser window (1200 pixels or more).   Download SED & P(z) plots to view larger versions.
In P(z) plots: Yellow lines mark the cluster redshift z = 0.390,  

Object #1941   x,y = (3662, 2790)   RA, Dec = (11:50:46.128, -28:04:48.00) = (177.69220, -28.08000)   BPZ = 2.021 [1.193--2.822]   type = 11.00 (SB11_A_0_l)   stellarity = 0.45   chisq2 = 2.04   ODDS = 0.23   z_cluster = 0.390