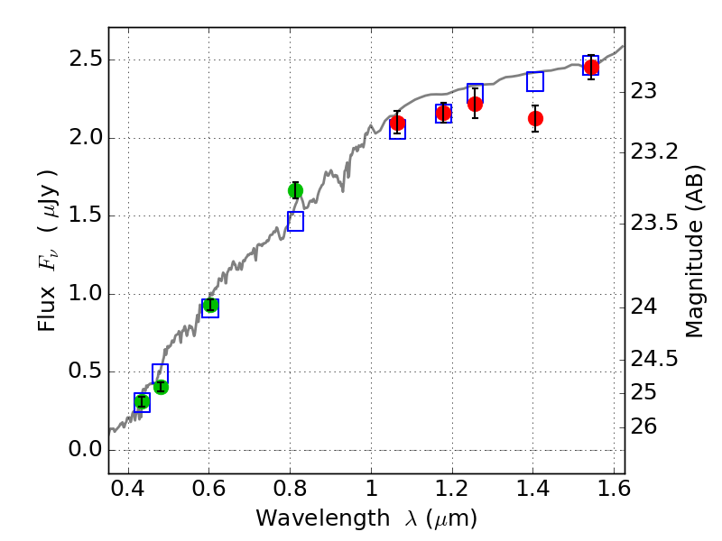
PLCKG287+32 IR detection object #1825

Color images and BPZ results
Catalog: 1825.cat
Black segments are analyzed here.   Roll mouse over color images to view segments.
Best viewed in a wide browser window (1200 pixels or more).   Download SED & P(z) plots to view larger versions.
In P(z) plots: Yellow lines mark the cluster redshift z = 0.390,  

Object #1825   x,y = (3621, 2580)   RA, Dec = (11:50:46.296, -28:05:00.60) = (177.69290, -28.08350)   BPZ = 0.087 [0.037--0.515]   type = 4.00 (Ell4_A_0)   stellarity = 0.99   chisq2 = 0.57   ODDS = 0.81   z_cluster = 0.390