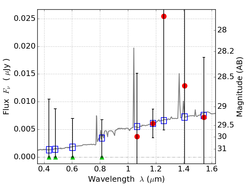
PLCKG287+32 IR detection object #1779

Color images and BPZ results
Catalog: 1779.cat
Black segments are analyzed here.   Roll mouse over color images to view segments.
Best viewed in a wide browser window (1200 pixels or more).   Download SED & P(z) plots to view larger versions.
In P(z) plots: Yellow lines mark the cluster redshift z = 0.390,  

Object #1779   x,y = (2392, 2621)   RA, Dec = (11:50:51.888, -28:04:58.08) = (177.71620, -28.08280)   BPZ = 1.078 [0.362--8.069]   type = 8.00 (SB1_B10)   stellarity = 0.00   chisq2 = 0.22   ODDS = 0.06   z_cluster = 0.390